Tag: 风险管理

期货日内短线操盘高手技巧必看

期货日内短线操盘高手技巧必看

2010-09-0900:08:36|  分类:精华博文(​http:​/​​/​nonaction.blog.163​/​blog​/​”l”m=0&t=1&c=fks_087068082082085066082081095095093085082074081095080″o”精华博文​)|  标签:|字号大中小 订阅

1.什么是日内短线交易?

日内短线交易是一种交易模式,主要是指持仓时间短,不留过夜持仓的交易方式。日内短线交易捕捉入市后能够马上脱离入市成本的交易机会,入市之后如果不能马上获利,就准备迅速离场。因为这种交易方式在市时间短,所以承受的市场波动的风险较低。目前,国内有一些操盘高手采用此交易方式取得稳定的盈利,获得了成功。

2.日内短线交易的理念及优缺点对投机市场的不同理解造成了不同的交易方式。

日内短线操盘手认为,市场价格的波动由于受众多因素的影响,表现出有很大的不确定性,市场预测是很困难的,而且越是期限长的价格预测越是不可能,相对短期市场的预测由于影响价格的因素有限而相对误差小、准确性高,并且短期市场的波动主要受交易者的投机行为影响,在短期内,投机群体比较固定,投机行为的固定特征比较明显,这就给短期交易者对市场的预测提供了参考。日内短线交易优点由于持仓时间短,所以回避了一些无法预测的市场风险,所以交易状况比较稳定。其缺点每日专心盯盘,比较费神,对自身的综合素质要求较高。

3.日内短线交易的方法

日内短线交易的方法有2种,根据持仓的时间分为日内短线交易和日内超短交易(炒单)2种,日内超短交易与日内短线交易不同的是它的持仓时间更短,一般的持仓时间在1-2分钟,短的不超过10秒,最长不超过10分钟。日内超短捕捉入市后能够马上脱离入市成本的交易机会,入市之后如果不能马上获利,就准备迅速离场。因为这种交易方式在市时间短,所以承受的市场波动的风险较低。而日内短线交易是建立在日内一段明显的趋势波段上的交易方法,基本上属于趋势交易的范畴,在交易的频率上要明显的低于炒单的方法。

4.日内短线交易的交易原则

首先,要树立薄利的交易思想。日内短线不能贪,给自己规定一个合理的利润空间,达到目标时要立即出局,然后重新评判市场,耐心等待市场给出的下一次交易机会。其次,尊重市场,顺应市场。日内超级短线的交易员不能对市场有预判,心空才能接纳市场,融入到市场里。交易员在市场面前,要永远保持自己谦卑的姿态,在市场面前,我们永远是无足轻重的。第三,要精选符合自己交易原则和自己熟悉的交易机会,不打无把握之仗。做到不出手则已,出手必胜。日内超短由于获利很薄,要靠出手的成功率获胜,这一点尤其重要。最后,跟其他类型的交易方式一样,控制风险也是日内超短的重中之重。打个比方,日内超短就好像打游击,以获得实利作为交易的出发点和最终依归,打得赢打,打不赢立刻撤退,保存自己的有生力量,等待下一次机会。

5.日内短线交易所需要的心态

心理沉着冷静,气度优雅,打开机器,让市场在自己的面前一秒一秒展现,如果市场出现符合自己的交易机会及时介入,赢了不喜形于色,输了不垂头丧气,错过不懊悔,牢记技术要领,进退有据,仅此而已。这就是一个投机者的生活,不能被市场以外的东西影响自己的心态。大部分人为什么模拟比实战作的好的主要原因就是在心态上。实战时心态不平和,赚了还想赚,赔了就急于扳回来,交易混乱,进退失据,最终造成交易的不成功。交易要树立这样一个观念,按照自己的规则作了,不论输赢,都不后悔,当兵打仗就不能怕死,做交易员就不能怕赔钱,只要按照规则作了,就没有什么后悔的。俗话说,有什么样的心态决定成就多大的事业。古人云,形而上者谓之道,形而下者谓之器,在交易中形而上者是市场理念、交易理念之类的东西,更是一个人的心态、气度。形而下者才是技巧之类的东西。

6.日内短线交易成功可能是散户(小资金)稳定获利的唯一途径

日内短线交易由于减少了在市时间,大部分时间作为局外人观察市场,减少因为手中有持仓导致对市场的偏执,所以心理负担轻,对市场的看法比较客观,因此比其他的交易方式更容易成功。另外,小资金抗风险能力比较差,也不适合长线操作,以为无法合理的调整持仓结构。一位是美国的管理10亿美元的大型的即日交易机构的LindaBradford,她说,只要你不停的交易,最终你就会赚到钱,”炒单,就是越炒越简单。”此乃真理!

7.短线高手的经验(1)

查理D:要想在交易中赚钱,只要做到遵守纪律,能在适当时战胜自己的个性弱点和人性的共性弱点就可以了。交易时,他更像一个运动员,他的买卖皆是出于本能的反应而不是思考,技巧上身时,心就忘了它。对于真正的超短线交易者来说,交易不是一个零和游戏,这里遍地是金子,到处皆有发财的机会,对于手续费用低廉的交易者来说,他们从事着世界上最好的职业,他们在风险更低的情况下,赚着其它行业的人做梦也不敢想的利润。他认为,在市场允许的情况下,交易量越大越好,交易时间越短越好,只有这样,才能在更少的时间,更低风险的情况下,赚更多的金钱。努力做一个获取微利的交易者,按赚取微利的原则行事。本质上而言,查理的交易策略就是:用最短的时间,来把握任何一个可以获取微利的机会。有一类操盘手一直在赚钱,他们是赚钱薄利差价的超短线操盘手。他们一次赚一点,一点一点地赚,积少成多,最后将财富汇聚成了金钱的海洋。只要你在压力下仍能做出正确的行为就行。尽可能保住你的位置,只要你还在市场中,你就总有赚钱的机会。面对损失,要像一个真正的男人一样面对它,而不是逃避,这是另一层面上的勇气。对于一个超短线交易者,赚钱了,他要走,不赚,他也要走,赔了,他更要走。永不持有任何亏损的仓位,永远在赚钱的仓位上加码,这在一定意义上说,是交易的全部真谛。

8.短线高手的经验(2)

对超短线客来说,没有分析,只有行动;没有基本面,只有图表。我喜欢短线,见利就跑,有一句话:嘲笑一分钱就会为一分钱哭泣。所以,我是很实际的,海纳百川,积小多为大赢。

9.短线高手的经验(3)

当然,盘感不能代表一切,但是,做短线若拥有好的盘感,则可能会拥有一切。我可以先假设:市场是上涨或者下跌,然后我再一步步地去验证。如果市场正如我所预料的那样运行,则加码。如果不是按我所事先预料的那样运行,则止损!我不能被动地等待市场证明我是对的,才去追开头寸,此时开仓已利润较小,我也没有成本等待市场证明我是错误的才去平仓,此时再平仓已损失较大。如果非要等到市场运行到盘面和各个指标发生错误时,我才去止损,则:此时已损失惨重,为时已晚。所以,也只有这样,才能使我对正确的思想和行动,不断作正确的强化。开仓不一定非要等到市场证明我正确的时候,平仓也不一定非要等到市场证明我错了的时候,打出提前量,做错的时候也可以是获利的。短线盘感是一手一手练出来的,单子一进去10秒内就有抬轿子的说明基本入门了。

10.如何做”超短”之一?

期货的价格在运行时,它总是会有一定的”惯性”的,而我们就是要充分地利用这种极为短暂的”惯性”来获取利润。比如,在涨势中,1或3分钟K线图上,前一根K线是阴线,当后一根K线转变为阳线时,这时又有买盘的配合,我们就入市做多。因为我们就可以预见,下一根K线可能还会”惯性”地走出第2根、甚至第3根阳线,总之只要”惯性”能冲出更高点,我们就可以有了平仓获利的空间。乘”惯性”的作用获利平仓后,我们做”超短”的这一笔买卖就已经做完了,所以,我们不必关心计较第4、第5根K线以及其后的走势会走出什么样子,那是下一笔交易的事了。

11.如何做”超短”之二?

1、做单前不要带有任何主观的、人为的方向感。每一笔的入市,都要”事前”设好止损点或止损条件。出入市时不要计较盈亏或价格的高低。做”超短”,只选择近日来成交量最大、持仓量不断增加、在涨势中领涨或在跌势中领跌的那个”最热门的品种”做。没有大成交量的品种一律不看、不做。

2、做”超短”只看闪电图、即时图、1或3分钟图、买卖方挂价、成交量及吃单情况(不看其他任何技术指标,不计较价位的高低)。

3、即时图的均线参数为 ;1或3分钟图的均线参数为 5或55、113 ,成交量线为5、34 。

4、看即时图,把握当日当时眼前的走势:(1)当均价线(黄色的)向上倾斜,价格线(白色的)在均价线之上,且一波比一波走高的,表示当前是涨势,我们将以做多为主(只有当价格线远离均价线太多时,才可考虑做短空,或在涨势中放弃做空的机会)。(2)当均价线向下倾斜,价格线在均价线之下,且一波比一波走低的,表示当前是跌势,我们将以做空为主(只有当价格线远离均价线太多时,才可考虑做短多,或跌势中放弃做多的机会。(3)当均价线为水平走向,价格线在均价线上下来回穿越,表示当前是盘整或振荡势,不入市,或多空都做。(4)当看见价格线上穿均价线时,就做多(或平空做多);下穿均价线时,就做空(或平多做空)。”穿越”的一瞬间,最好有1或3分钟图、吃单情况和成交量的配合最好。

5、具体的出入市点,看1或3分钟图和看吃单情况:(1)当即时图为”涨势”时,要耐心等1或3分钟图上出现”上一根是阴K线的,翻为下一根刚刚变为阳K线时”或”阴翻阳的同时,3均线转弯向上时”,果断入市做多。这时卖方挂单被买单不断主动吃掉,即使有向下的卖单,也不大或不能持续。(2)当即时图为”跌势”时,(向下做空,与做多正好相反,在此不多述)。(3)平多,假如您在第1个3分钟阴K翻阳K时入市,一成交多单,立马就准备好平仓单,平仓时机是:只要有利就平,或阳K线升幅一根比一根小,或长上影,或已经有连续两个3分钟以上的阳K线,或上方卖出的挂单突然加大,或有大的卖单向下吃单,而买单不断减少,或3分钟K线刚刚有第1个阳翻阴,或阳翻阴而且3均线转弯向下。这时应果断平多。(4)平空(与平多正好相反)。(5)当即时图为”振荡势”时,3分钟图上只要见阴翻阳,3均线转弯向上就做多;见阳翻阴,3均线转弯向下就做空。

12.短线高手的经验(4)

我是独来独往的短线炒单手,做单只靠自己的盘感,盘后从不分析的.不承担隔夜持仓的风险,就赚点小钱. 炒短线出现意外的亏损是不可避免的,千万不可和盘子赌气,感觉不对的单子尽快做好砍的准备,不要等真的不对的时候再砍,那样会误事; 忘掉心中的所有分析,不对行情有先入为主的判断,炒手就只赚属于自己的小波动,拒绝大局观,拒绝暴利,只关注盘面最细微的变化,完全凭直觉炒单,错过这一次行情就耐心等下次机会! 输的时候要缩量,越砍应越高兴,因为可以一次性把晦气去除,早一点找到自己合适的节奏. 只相信自己的感觉,因为自己对盘面的分析带有主观性,会影响做单的方向! 放弃该放弃的,把握能把握的;不在自己能力范围内的就放弃,只重点把握自己能够把握的部分行情。

我的理念里,市场怎么走不用多去判断,判断了也别信,要让市场自己去说话。为什么有那么多人不能在第一时间止损?因为他们研究太多信心足!造成交易时的困惑

结构笔记丨利率套期保值工具

利率套期保值指企业和金融机构利用利率套保工具进行套保交易以降低利率风险,常用的利率套保工具包括国债期货、利率互换、利率期权等。

常用的利率套保工具介绍

1、国债期货即以国债为标的物、在交易所交易的期货品种。从定义上讲,国债期货是指买卖双方通过有组织的交易场所,约定在未来特定时间,按约定的价格和数量、进行券款交收的国债交易方式。

2、利率互换(IRS)是交易双方按照不同计息方法,定期交换利息的金融合约。当前最主流的利率互换协议是浮息与固息的交换,即一方收取浮动利率、支付固定利率,另一方收取固定利率、支付浮动利率。

3、利率期权是指挂钩标的为LPR、国债、存单等利率工具的期权产品。根据是否有统一的交易场所,可以将利率期权分为银行间市场利率期权和其他场外利率期权。银行间市场利率期权品种包括利率上下限期权和利率互换期权。

利率套期保值工具的使用场景

套期保值是在现货市场和衍生品市场对同一标的资产进行数量相等但方向相反的买卖活动,或者通过构建不同的组合来避免未来利率变化带来损失的交易。买入套期保值指在衍生品市场构造多头头寸(如买入期货),以规避现货市场价格上涨的风险;卖出套期保值指在衍生品市场构造空头头寸(如卖出期货),以规避现货市场价格下跌的风险。

具体而言,当金融机构具有正的利率敞口时(如持有债券组合),或实体企业在未来有融资需求时,可能担心未来利率上行,此时可以选择卖出套期保值。可行的操作包括:

1、国债期货:对于持有利率组合的投资者,可卖出国债期货,在合约到期时交割或获取国债期货价格下行的收益,以规避因利率上行、债券价格下行带来的损失;对于未来的融资需求方,后续利率上升可能导致融资成本增加,若提前卖出国债期货套保,可以获得国债期货价格下行的收益,以对冲利率上行导致的融资成本上行。

2、利率互换:对于持有利率组合的投资者,可在IRS交易中支付固定利率、收取浮动利率,若市场利率上行,收取的浮动利率随之上行,即可以对冲原本利率组合价格下跌。对于融资需求方,选择在IRS交易中支付固定利率、收取浮动利率,可以对冲未来融资成本上行的风险。例如,当银行滚动发行3个月同业存单时,可能面临未来一级发行利率走高的风险。此时,银行可以在IRS交易中支付固定利率以对冲该风险。由于同业存单发行利率和SHIBOR 3M具有强相关性,所以银行发行同业存单时可以选择SHIBOR 3M利率互换合约支付固定利率方向的交易。而银行发放给企业的贷款常见报价形式为LPR加点,企业可以选择在LPR利率互换合约中支付固定利率,以锁定融资成本。

案例一:企业浮动利率贷款融资——通过利率互换锁定成本。

企业从商业银行获取浮动利率贷款,并与金融机构达成一笔LPR利率互换交易,本金1亿,期限1年,按季付息。

企业向金融机构支付固定年化利率K,ACT/365;

金融机构向企业支付浮动利率:1Y LPR,ACT/360,每季度重置,复利计息。

利率期货期权_利率套期保值国债期货利率互换利率期权

利率期权:机构可以买入挂钩利率标的的利率期权以管理利率风险,常见结构包括利率互换期权、利率上下限期权、香草期权、欧式二元期权等,常见挂钩标的包括基准贷款利率LPR1Y、LPR5Y、银行间市场资金利率FDR001、FDR007、FR007、关键期限国债收益率、国债期货等。

案例二:企业浮动利率贷款融资——通过利率上限期权锁定成本。

企业从商业银行获取浮动利率贷款,并与金融机构达成一笔挂钩LPR1Y、名义本金为1亿、期限为1Y、利率上限为3.45%,按季支付的利率上限期权。

利率套期保值国债期货利率互换利率期权_利率期货期权

当金融机构未来有持有正的利率敞口的计划,比如计划在未来买入债券;或当实体企业负担固定利率债务时,可能担心未来收益率下行,此时可以选择买入套期保值。可行的操作包括:

国债期货:对于未来计划持有利率组合的投资者,可提前买入国债期货,在合约到期时交割获得国债或获取资本利得以规避因利率下行、需要以更高的价格买入现货的损失;对于负担有固定利率债务的企业,若后续利率下降,企业依旧需要支付偏高的融资成本,若买入国债期货套保,可以获得国债期货的资本利得以对冲部分融资成本。

利率互换:对于未来计划配置利率组合的投资者,可以在IRS交易中收取固定利率,若市场利率下行,即可以规避因利率下行、需要以更高的价格配置现货的损失。企业通过发债融资时多为固息债,若发债时利率正处高位,且预期未来利率将下行,为了降低融资成本,企业可以选择在IRS交易中收取固定利率的IRS,将固息债务转换为浮息债务,在利率下行过程中实现降低融资成本的目的。

案例三:企业固定利率发债融资——通过利率互换转为浮息债务。

企业以固定票息C在债券市场通过发行债券融资,同时与金融机构达成一笔SHIBOR 3M利率互换交易,本金1亿,期限2年,按季付息。

企业向金融机构支付SHIBOR 3M,每季度重置,复利计息;

金融机构向企业支付固定利率K。

利率套期保值国债期货利率互换利率期权_利率期货期权

参与机构

我国利率套期保值工具的市场参与者包括商业银行、证券公司、资管产品和实体企业等。

国债期货方面,证券公司是国债期货市场重要的参与者。商业银行和保险机构也可以在依法合规、风险可控、商业可持续的前提下,参与中国金融期货交易所的国债期货交易。根据《公开募集证券投资基金投资参与国债期货交易指引》,股票型、混合型与债券型公募基金(短期理财债券基金除外)均可参与国债期货交易,但需要以套期保值为目的。近年来,公募基金持有国债期货规模持续抬升,基金公司参与度明显提高。

利率互换方面,近年来参与者逐渐增加,机构数量上以银行为主。

利率期权方面,证券公司是主要的期权卖出方,承担了做市商的角色。银行是主要的期权买方,买入期权以管理自身资产的利率风险。

潜在风险

事实上,国债期货、利率互换等衍生品的出现,本身就是作为风险管理的工具,以对冲现货市场的风险。但需要注意的是,衍生品自身也可能带来一些新的潜在风险,在利用利率衍生品进行套期保值的过程中风险管理不可忽视。

首先需要注意的是基差风险。基差可以简单理解为现货价格与利率衍生品价格之差。如果债券现货的价格与衍生品的价格同步变动,那么套期保值的结果是:投资者在一个头寸中遭受的损失将会由另一个头寸实现的盈利抵消。然而利率衍生品的价格变动与对应基础资产的价格变动并不是完全同步的,只有当两者的走势完全一致时,才能实现完美的套期保值。实务中,基差的变动往往不可预测,套期保值的结果取决于套期保值开始和结束时现货价格与衍生品价格之间的关系,由此引发的不确定性就是套期保值过程中的基差风险。

除此之外,套期保值过程中所面临的潜在风险还包括流动性风险、市场风险和操作风险等。例如,流动性风险方面,从参与者数量看国内利率互换市场参与机构以股份制银行、证券公司和外资银行为主,基金、理财、保险等资管类机构较少参与利率互换市场,利率互换交易基础相对薄弱,在市场大幅波动时,可能存在市场容量不足、流动性缺失的风险。类似的,由于利率期权的交易对手方相对较少、交易相对不活跃,投资者在参与利率期权交易时可能会遇到市场流动性不足的难题。对国债期货而言,其市场深度相对充足,流动性风险可控,但期货本身具有杠杆属性,这要求交易者更加重视国债期货价格发生剧烈变化造成的市场风险。

国债期货期权理论定价初探

作者:银河期货金融衍生品研究所高级研究员 沈忱

上海财经大学统计与数据科学学院博士生 张偲嘉

本文原载《债券》2025年6月刊

摘 要

2024年9月13日,中金所开启国债期货期权仿真交易,标志着我国场内利率期权品种正式上市,填补了我国期权领域空白。本文比较了常见的期货期权定价模型和波动率的估计方法,选取定价效率较高的BAW模型,利用国债期货历史数据,对国债期货期权进行了理论定价。通过实证分析,本文尝试描述国债期货期权价格的时间价值衰减过程及其与标的价格之间非线性的变化关系,以期投资者在合约正式上市之前,对国债期货期权的价格特征有初步的了解。

关键词

国债期货期权 理论定价 实证分析 价格特征

背景介绍

作为利率市场化的产物,利率衍生品工具在管理利率风险、稳定资本市场、促进经济平稳发展等方面发挥着积极作用。与海外相比,我国国债及其衍生品市场起步较晚,但发展迅速。当前,我国债券市场规模已居全球第二,陆续上市的一系列国债期货产品市场活跃度也不断提升。中金所数据显示,截至2024年,我国国债期货日均成交约22.88万手,日均持仓约49.16万手,分别较上年增长约17.7%和20.5%,保持两位数的增幅。

随着我国债券市场规模的不断扩张以及高水平对外开放稳步推进,市场各方对更加丰富的利率衍生品工具的需求有所上升。从海外实践来看,美国、欧洲、日本等海外发达经济体均已陆续建立了国债期权市场,并与期货市场共同形成了利率风险管理体系的双支柱。目前,中金所也在已上市国债期货合约的基础上,研究设计了2年期、5年期、10年期和30年期国债期权仿真合约,并于2024年9月13日开启仿真交易。

我国国债期货期权上市渐近,本文在中金所合约规则的基础上,利用现有数据和模型为国债期货期权进行理论定价。在精确刻画期权非线性收益结构的同时,理论定价可以帮助投资者提前熟悉和了解不同市场条件下的期权价格波动、时间价值衰减等特征,从而更好地理解期权所蕴含的风险。此外,未来期权合约上市后,投资者也可以根据理论价格来协助判断市场价格是否合理,从而发现潜在的套利机会,并测试开发不同的期权交易策略。

模型介绍

(一)期权的定义

期权是一种金融衍生工具,赋予买方在约定期限内按约定价格买入或卖出一定数量的某种资产的权利,且买方没有必须行权的义务。非线性的收益结构使得投资者在利用期权对冲市场风险或构建投资组合时具有独特的优势,包括相对可控的风险、策略的多样性等。

期权分类标准较多,最简单的分类方式是按买方权利将其分为看涨期权和看跌期权。看涨期权的买方有权按事先约定的行权价格买入标的资产,看跌期权的买方则可以按行权价格卖出标的资产。而按行使权利的时间又可以将期权分为欧式期权和美式期权。欧式期权的行权时间固定,买方只能在到期日行权;美式期权的买方则可以在到期日之前的任何时间行权。美式期权行权方式上较高的灵活度也使得其在定价方面与欧式期权存在一些差异。

(二)常见期权定价模型

期权的理论价格取决于多个因素,包括标的资产价格、行权价格、到期时间、波动率等。而在期权定价研究领域,定价方法主要分为解析类和数值类。解析类通常以传统的Black-Scholes(BS)模型为基础,对于欧式期权,通过构造一个由期权和标的所组成的无风险交易组合,在无套利的条件下推导出微分方程的解析解,为期权进行定价。而数值类的二(三)叉树定价模型则将每个时间点的价格变动分为2(3)个方向,由树的末端倒推计算出期权价格。当然,理论推导和数值模拟均已证明,当二叉树的时间间隔无穷小时,二叉树定价与BS定价是等价的。

对于美式期权,因为提前行权的特性,其定价公式本质上是一个动态规划的过程,这使得其定价的复杂度远大于欧式期权。美式期权上不存在封闭的解析解,通常借助数值计算方式,通过求一个可行的近似解逼近解析解来进行定价。例如,有限差分法通过差商代替微商,对方程以及定界问题离散化,把微分方程用一组差分方程来代替,最终通过迭代法求解差分方程。而美式二叉树,比如Cox-Ross-Rubinstein(CRR)模型,在计算期权价值时额外考虑是否提前行权。在每个节点上,需要比较提前行权的价值和继续持有期权的价值,取较大者作为该节点的期权定价。此外,对于一些结构较为复杂的期权,蒙特卡洛模拟也能很好地对其进行定价,该方法通过不断且多次模拟标的价格的变化路径以求得对应期权的价格。

不同美式期权定价方法在定价精度上区别较小,但在计算效率上却有较大差异。有限差分法需要求解一组差分方程,因此需要的计算时间较长。同时,蒙特卡洛方法也需要大量的模拟次数来尽可能地模仿现实市场中标的资产的价格波动。相较之下,CRR模型通过数值模拟的方法,避免了复杂的方程求解,计算上相对高效。1987年Barone-Adesi-Whaley(BAW)模型对BS模型进行扩展,将美式期权的价值分解成两部分。一部分是欧式期权定价,即通过 BS 模型进行定价;另一部分是由于美式期权可以提前行权而需要增付的期权金,通过变量替换将偏微分方程简化为常微分方程,实现了近似解析解,计算效率较高,在实际市场中被广泛应用于美式期权定价。

海外国债期权合约设计上多采用美式履约,从目前了解到的信息来看,中金所公布的国债期货期权合约草稿在设计上也遵循国际惯例。因此,本文实证部分模型使用上也基于美式结构。

(三)不同波动率估计方法

在期权的定价模型中,波动率是一个关键的输入参数,它描述了标的资产价格在单位时间内的变动性或不确定性。在BS模型中,期权价格与波动率的平方根成正比,估计波动率在期权定价、期权交易及风险管理中扮演着至关重要的角色。高波动率意味着更高的不确定性和潜在风险,而了解和管理波动率是期权交易成功的关键因素之一。

波动率可以由历史波动率来估计,也可以用隐含波动率来估计。历史波动率是基于过去一段时间内资产价格的实际波动情况来计算得到的,而隐含波动率则是根据期权市场价格反推出的波动率,是实际交易出的结果。

估算历史波动率,最简单的要数基于标准差的方式,其借助移动窗口,对每个窗口内资产收益率计算标准差,以此来估计波动率随时间的变化情况。但这种预测方法存在一个明显的问题,即资产价格的大幅变动会在波动率估计量的序列中保留一段时间后突然消失。

指数加权移动平均(EWMA)模型用滞后一期(期)收益率平方与滞后一期方差的加权平均来预测当前期的波动率,一定程度上解决了波动率预测中价格跳空的影响。而作为计量经济学中用于估计时间序列波动率的经典模型,自回归条件异方差(ARCH)和广义自回归条件异方差(GARCH)模型也能够捕捉到波动率随时间变化的特点,从而解决上述提到的问题。

近年来,机器学习技术也被用于估计波动率,包括随机森林、神经网络、遗传算法等。每种方法都有其优势和局限性,选择哪种方法取决于数据的可用性、计算资源和特定应用的需求。在实际应用中,投资者和风险管理者需要结合多种方法来获得更稳健的波动率估计。

实证研究

(一)国债期货历史波动率

本文选用2015年3月20日至2024年8月5日共2283个交易日的10年期国债期货收益率样本数据,计算国债期货历史波动率。其中,图1为EWMA、GARCH(1,1)模型计算的历史波动率,图2为20天、40天、60天的标准差波动率。从结果上看,不同方法计算出的历史波动率的变化趋势是相同的。波动率的聚集效应、均值回归特性在国债期货上也较为明显。

利率期货期权_国债期货期权实证分析_国债期货期权理论定价

利率期货期权_国债期货期权实证分析_国债期货期权理论定价

历史数据显示,波动率升幅最大的一次发生在2016年末到2017年初。彼时资金面收敛和央行流动性收紧预期引发投资者对债市去杠杆的担忧,叠加大宗商品价格上涨抬升通胀预期以及机构赎回增多等因素冲击,市场出现了恐慌情绪,引发了更多的止损盘和做空力量,市场波动率短时间内出现了快速攀升。

另一次波动率较大升幅发生在2020年初。新冠疫情暴发后,在货币政策超常规宽松的大背景下,10年期国债收益率一度快速下行至2.5%附近。随着股市走强、政府债券供给放量以及资金面逐步趋紧,国债收益率重新震荡上行,债市波动逐步有所下降。

(二)波动率估算方法的选择

前文提及历史波动率和隐含波动率在定义上的差异,且相较于历史波动率,隐含波动率与期权实际价格的关系更为直接。为了缩小期权理论定价与实际市场价格之间的差距,提升理论定价的精度,需要确认与隐含波动率最为接近的历史波动率计算方法。

在缺乏国债期货期权实际交易数据的情况下,本文通过对已上市且同为美式期权的铜期权合约模拟定价与真实价格走势的对比研究,发现GARCH和EWMA方法估计的历史波动率更接近隐含波动率(见图3)。而对于标的价格/期权价格波动频繁的合约(CU2409),GARCH比EWMA稍微好一些(见图3);但是对标的价格/期权价格比较稳定的合约(CU1912),EWMA明显优于GARCH(见图4)。

利率期货期权_国债期货期权实证分析_国债期货期权理论定价

利率期货期权_国债期货期权理论定价_国债期货期权实证分析

综合来看,笔者发现通过EWMA计算得到的历史波动率,在大多数市场环境中都是隐含波动率的一个较好的估计。因此,在对国债期货期权进行模拟定价时也采用EWMA方法来进行计算。

(三)国债期货期权理论定价结果与特征

经过上述讨论,我们选取被广泛应用于美式期权定价且计算效率高的BAW定价模型,其公式如下(以看涨为例):

国债期货期权理论定价_利率期货期权_国债期货期权实证分析

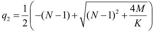
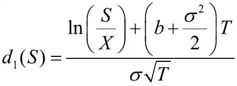
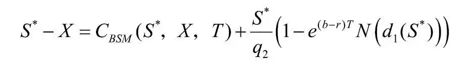
第一项是BS模型计算所得的看涨期权价格,第二项是提前行权需要增付的权利金部分。具体地,A2=S*/q2(1-e(b-r)TN(d1(S*))),其中

国债期货期权实证分析_国债期货期权理论定价_利率期货期权

国债期货期权实证分析_国债期货期权理论定价_利率期货期权

国债期货期权理论定价_国债期货期权实证分析_利率期货期权

国债期货期权理论定价_利率期货期权_国债期货期权实证分析

,K=1-e-rT。其中, S为标的当前价格, X为行权价,T为距离到期时间,b为持有成本,σ为定价所假设的波动率,r为无风险利率。S*为临界的标的资产价格,满足

利率期货期权_国债期货期权理论定价_国债期货期权实证分析

波动率估算方法选择EWMA模型。设收益率序列为rt,波动率序列为σt,则其公式为

其中,λ是衰减因子,取值范围在0到1之间。J.P. Morgan和Reuters通过最小化均方根误差(RMSE)推导出最优衰减因子,发现日数据集的最优衰减因子为0.94,月数据集的最优衰减因子为0.97。因此,本文采用 λ=0.94。

价格参数S采用10年期国债期货合约的价格,并通过四舍五入,选取与当天期货价格S距离最近的行权价格作为平值期权(ATM)。实值期权(ITM1、ITM2)和虚值期权(OTM1、OTM2)则根据中金所已公布的合约设计草稿分别在ATM基础上加减0.25、0.5。T为期权合约距离到期日的时间,选取上海银行间同业拆借利率(Shibor)作为市场无风险利率r,并从中查找距离T最近的期限利率,代入计算。

图 5 展示了10年期国债期货期权当月合约模拟定价的结果(以看涨期权为例)。可以看到实值期权由于其内在价值较大,所以价格始终高于平值和虚值期权。期权当月合约在刚完成换月后,由于其距离到期日的时间最长,时间价值最高,此时的期权价格往往也是阶段性的高点。但随着到期日的临近,时间价值逐渐衰减,期权价格也随之走低,直至到期日平值和虚值期权价格降至0。这一特征随着每次换仓呈周期性重复,也就是说,对于期权买方而言,代表时间价值的Theta值为负。

国债期货期权实证分析_国债期货期权理论定价_利率期货期权

具体到单个合约,我们以10年期国债期货合约T2403为标的,按中金所合约设计规则,对应模拟期权的存续时间为在2023年8月第二个星期五的后一个交易日(2023年8月14日)至2024年2月第二个星期五(2024年2月9日)。从图6中我们可以更明显地发现期权价格随着到期日的临近,时间价值逐步衰减带动期权价格呈现震荡回落的趋势。且在合约快要到期时,平值和浅实值期权的时间价值衰减速度将有所加快,即Theta的绝对值会上升,对应价格下行斜率趋陡,时间价值衰减呈现非线性的特征。

国债期货期权实证分析_利率期货期权_国债期货期权理论定价

我们还将期权执行价格固定在某一特定值,以此观察特定执行价下,期权与标的期货价格之间的联动性特征。以2023年8月14日为观察起始点,此时T2403合约价格为102.45。我们将执行价格分别固定为K1=102.25、K2=101.50(见图7、图8),发现随着T2403价格前期先跌后涨,看涨期权合约价格也随之有相同趋势的变动,即正Delta特征,而看跌期权价格则呈现反向变动,即Delta为负。

国债期货期权理论定价_国债期货期权实证分析_利率期货期权

利率期货期权_国债期货期权理论定价_国债期货期权实证分析

无论是看涨还是看跌,虚值期权Delta绝对值都较低,其价格对标的价格变化的敏感度也相对较低。比如2023年9月后,执行价格为102.25的看跌期权一度变为实值,其价格振幅明显大于同一标的但执行价格为101.5的看跌期权。

此外,从2023年12月开始,期货价格开始稳步上涨,对应两个看涨期权重新变为实值,价格联动性随着实值程度的加深和合约到期日的临近逐步上升,即期权Delta收敛于1;同时,看跌期权进入虚值状态,随着到期日临近,价格逐步趋于0,Delta也收敛于0。

总结

本文聚焦国债期货期权的理论定价问题,选用EWMA方法计算历史波动率并代入BAW期权定价模型,以中金所10年期国债期货T2403合约作为标的进行模拟定价。结果显示,本文估算的期权理论价格能够较准确地跟随期货标的进行有效波动。且不同行权价、不同方向下,时间价值衰减、期权价格与标的资产价格之间非线性联动的特征也较为明显。这为国债期货期权理论定价提供了一种有效的方法和参考。

市场实践中,国债期货期权的实际市场价格最终由供求关系决定,并受市场情绪等因素的影响。实际价格会随着市场条件的变化而变化,可能与理论价格存在一定偏离,这需要投资者在做风险管理和投资决策时格外留意。

近年来,随着我国宏观经济运行环境发生深刻变化,政府债券发行规模持续增加。但目前我国场内国债期权依然处于空白,现有对冲工具所能发挥的作用也存在一定局限性,无法满足投资者更多元、更精细的风险管理和投资需求。因此,有必要加快推动国内国债期权合约上市的进程,进一步健全债券市场的风险管理体系,让金融衍生品工具更好服务实体经济。